返回上一页  首页 | cnbeta报时: 20:34:52
科学家开发EDRR工艺 将黄金回收率提高到84%
发布日期:2021-10-14 11:18:07  稿源:cnBeta.COM

目前黄金的传统回收率为 64%,不过研究发现最新基于氯化物的工艺可将回收率提高到 84%。黄金是世界上最受欢迎的金属之一。它具有可塑性、导电性和非腐蚀性,被用于珠宝、电子、甚至太空探索。但传统的黄金生产通常涉及一种著名的毒素--氰化物,这种毒素在一些国家已经被禁止用于工业用途。

芬兰阿尔托大学的一个研究小组找到了取代氰化物的新工艺,该成果发表在《化学工程》上。

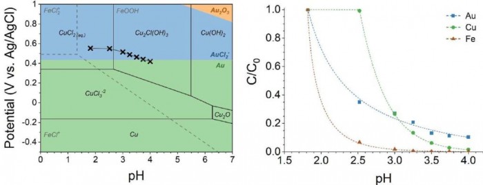
传统上,一旦金矿被从地下开采出来,它就会被粉碎成粉末,并在一个叫做浸出(leaching)的过程中通过一系列的罐子。然后用氰化物将金从矿石中分离出来,进入浸出溶液。

在新工艺中,浸出和回收过程是用氯化物完成的,氯化物是食盐中的两种元素之一。该项目研究员、博士生 Ivan Korolev 说:“到目前为止,没有人开发出一种从工业氯化物溶液中回收少量黄金的好方法”。

他继续说道:“通过我们的工艺,我们使用氯化物能够将黄金的回收率提高到 84%。相比之下,在我们的对照实验中,用标准的氰化物工艺处理同样的矿石,只能获得 64% 的收益”。

新工艺被称为电沉积-氧化还原法(EDRR),它结合了两种提取浸出金的常用方法的优点:电解法和胶结法,前者使用电流来减少浸出溶液中的金或其他金属,后者则是在溶液中加入其他金属颗粒与金发生反应。来自阿尔托大学化学工程学院的 Mari Lundström 教授和大学讲师 Kirsi Yliniemi 是其开发的幕后推手。

Korolev 表示:“通过 EDRR,我们应用短脉冲电流在电极上形成金属薄层--在我们的案例中是铜--并引起反应,促使金逐层取代铜。该方法能耗低,不需要添加任何其他元素”。

我们在FebBox(https://www.febbox.com/cnbeta) 开通了新的频道,更好阅读体验,更及时更新提醒,欢迎前来阅览和打赏。
查看网友评论   返回完整版观看

返回上一页  首页 | cnbeta报时: 20:34:52

文字版  标准版  电脑端

© 2003-2026